* docs(ru): replace prose quotes with guillemets * docs(ru): replace prose semicolons with periods * docs(ru): align animation title forms * docs(ru): align figure and table references
8.6 KiB
Задача о Ханойской башне
В задачах сортировки слиянием и построения двоичного дерева мы делили исходную задачу на две подзадачи, каждая из которых имела размер, равный примерно половине исходной задачи. Однако для задачи о Ханойской башне используется другая стратегия разбиения.
!!! question
Даны три стержня, обозначенные как `A` , `B` и `C` . В начальном состоянии на стержне `A` находятся $n$ дисков, расположенных сверху вниз в порядке от меньшего к большему. Нужно переместить эти $n$ дисков на стержень `C` , сохранив их исходный порядок (как показано на рисунке ниже). Во время перемещения дисков необходимо соблюдать следующие правила.
1. Диск можно снять только с вершины одного стержня и положить только на вершину другого стержня.
2. За один раз можно перемещать только один диск.
3. Меньший диск всегда должен лежать на большем.
Обозначим задачу о Ханойской башне размера i как $f(i)$ . Например, f(3) означает задачу перемещения 3 дисков со стержня A на стержень C .
Рассмотрим базовые случаи
Как показано на рисунке ниже, для задачи f(1) , то есть когда имеется только один диск, достаточно просто переместить его напрямую со стержня A на стержень C .
Как показано на рисунке ниже, для задачи f(2) , то есть когда есть два диска, поскольку меньший диск все время должен лежать на большем, приходится использовать B как вспомогательный стержень.
- Сначала переместить верхний маленький диск с
AнаB. - Затем переместить большой диск с
AнаC. - Наконец, переместить маленький диск с
BнаC.
Процесс решения задачи f(2) можно кратко описать так: переместить два диска с A на C с помощью B . Здесь C называется целевым стержнем, а B - буферным стержнем.
Разбиение на подзадачи
Для задачи f(3) , то есть когда имеется три диска, ситуация становится сложнее.
Поскольку решения f(1) и f(2) уже известны, можно подойти к задаче с точки зрения стратегии «разделяй и властвуй» и рассматривать два верхних диска на A как единое целое, выполняя шаги, показанные на рисунке ниже. Так три диска успешно перемещаются с A на C .
- Сделать
Bцелевым стержнем, аCбуферным, и переместить два диска сAнаB. - Переместить оставшийся один диск с
Aнапрямую наC. - Сделать
Cцелевым стержнем, аAбуферным, и переместить два диска сBнаC.
Иначе говоря, мы разбиваем задачу f(3) на две подзадачи f(2) и одну подзадачу $f(1)$ . Если последовательно решить эти три подзадачи, исходная задача тоже будет решена. Это показывает, что подзадачи независимы и что их решения можно объединить.
Таким образом, можно сформулировать показанную на рисунке ниже стратегию «разделяй и властвуй» для задачи о Ханойской башне: исходная задача f(n) разбивается на две подзадачи f(n-1) и одну подзадачу f(1) , которые затем решаются в следующем порядке.
- Переместить
n-1дисков сAнаBс помощьюC. - Переместить оставшийся
1диск напрямую сAнаC. - Переместить
n-1дисков сBнаCс помощьюA.
Для двух подзадач f(n-1) можно применять тот же способ рекурсивного разбиения, пока не будет достигнута наименьшая подзадача f(1) . А решение для f(1) уже известно и требует всего одного перемещения.
Реализация кода
В коде мы объявляем рекурсивную функцию dfs(i, src, buf, tar) , которая перемещает i верхних дисков со стержня src на целевой стержень tar с помощью буферного стержня buf :
[file]{hanota}-[class]{}-[func]{solve_hanota}
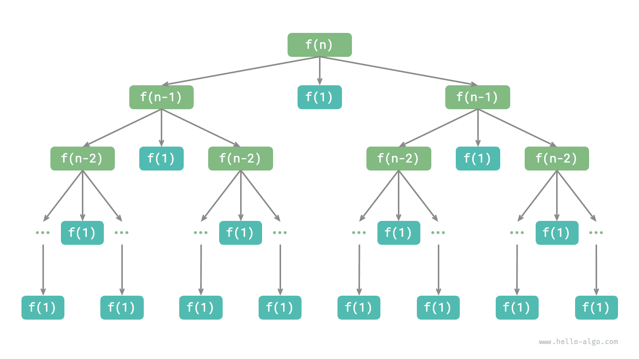
Как показано на рисунке ниже, задача о Ханойской башне формирует дерево рекурсии высоты n , в котором каждый узел представляет подзадачу и соответствует одному открытому вызову dfs(). Поэтому временная сложность равна O(2^n) , а пространственная сложность равна $O(n)$ .
!!! quote
Задача о Ханойской башне происходит из древней легенды. В одном из храмов древней Индии монахи имели три высоких алмазных стержня и $64$ золотых диска разного размера. Монахи непрерывно перекладывали диски и верили, что в тот момент, когда последний диск будет правильно перенесен, мир подойдет к концу.
Однако даже если бы монахи перемещали по одному диску в секунду, им понадобилось бы примерно $2^{64} \approx 1.84×10^{19}$ секунд, то есть около $585$ миллиардов лет, что намного превышает текущую оценку возраста Вселенной. Поэтому, если легенда и верна, нам, вероятно, пока не о чем беспокоиться.












